LaTeX templates — Journal articles
Discover a wide range of academic journal LaTeX templates for articles and papers which automatically format your manuscripts in the style required for submission to that journal.
Recent

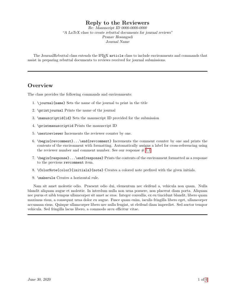
A template for writing rebuttal letters to reviews for journal submissions. Github repository: https://github.com/pranavh/JournalRebuttal_LaTeX/

Shape Symposium 2015 Template LaTeX Template Version 1.5 (18/5/15). This template has been downloaded from: http://www.LaTeXTemplates.com Original author: Frits Wenneker (http://www.howtotex.com) Modified by Michael Kistler (mr.kistler@gmail.com) License: CC BY-NC-SA 3.0 (http://creativecommons.org/licenses/by-nc-sa/3.0/)

Author template for Organization Science (orsc) Mirko Janc, Ph.D., INFORMS, mirko.janc@informs.org ver. 0.95, December 2010

Author template for Marketing Science (mksc) Mirko Janc, Ph.D., INFORMS, mirko.janc@informs.org ver. 0.95, December 2010

Author template for Interfaces (inte) Mirko Janc, Ph.D., INFORMS, mirko.janc@informs.org ver. 0.95, December 2010

Author template for Decision Analysis (deca) Mirko Janc, Ph.D., INFORMS, mirko.janc@informs.org ver. 0.95, December 2010

This is the template used by authors of papers for the journal: Revista Novas Tecnologias na Educação (RENOTE). Simply click the image above to start editing online instantly.

This template can be used to submit review responses during journal submission. Normally a journal publishing process contains multiple rounds of reviews. The responses to the reviewer comments can be written using this template in a formal and professional manner. Each and every reviewer comment can be addressed separately and clearly with this template.

This is Annual Reviews’ “Style 6” template (v1.0, April 2013) for the following journals: Biophysics Entomology Genetics Genomics and Human Genetics Microbiology Nutrition Phytopathology Plant Biology Public Health
\begin
Discover why over 25 million people worldwide trust Overleaf with their work.