overleaf template galleryLaTeX templates and examples — Recent
Discover LaTeX templates and examples to help with everything from writing a journal article to using a specific LaTeX package.

Master thesis template University of Hyderabad

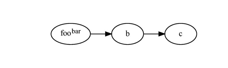
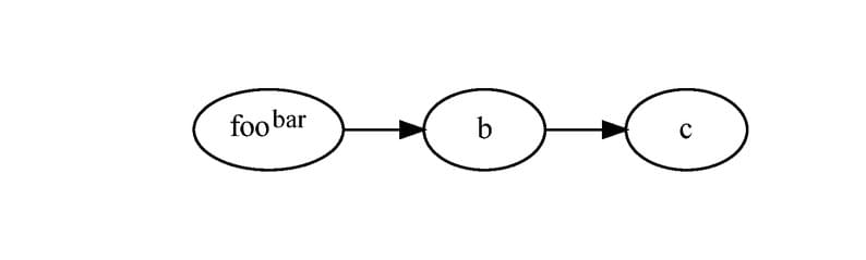
An example of the graphviz package, which uses dot in the background to draw graphs. Add \usepackage[pdf]{graphicx} to get HTML-like labels working.

A simple and stylized curriculum vitae template.

Template for IUCr conference abstracts. For more information, please see IUCR's instructions.

坂東研 (量子情報研究室) の卒論テンプレートです.

This template is used for the usual presentation in school of mathematics, Jilin Univesity. Wish you guys a fantastic presentation. Just fighting for days~

This is a LaTeX template which meets the style guide for the PhD thesis for the University of Newcastle, Australia.

Encontrei este modelo no site do Mestrado Profissional em Matemática em Rede Nacional: https://www2.uepg.br/profmat/documentos/

A simple thesis template to write a doctoral thesis for UPN students.
\begin
Discover why over 20 million people worldwide trust Overleaf with their work.