overleaf template galleryLaTeX templates and examples — Recent
Discover LaTeX templates and examples to help with everything from writing a journal article to using a specific LaTeX package.

This is an example for re-creating gnuplot charts with tikz on LaTeX, made possible by adding gnuplot-lua-tikz.sty and gnuplot-lua-tikz-common.tex to your project. (These files can be generated by invoking lua gnuplot-tikz.lua style where gnuplot-tikz.lua can be found in $GNUPLOT/lua/gnuplot-tikz.lua. (This will work with all engines, not just LuaLaTeX!)

Test Latex . Je n'ai pas trouvé de droit alors je le repartage.

This example shows how to create partial tables of contents using the titletoc package.

The xltabular combines the functionalities of longtable and tabularx.

CT problem set for undergraduate Medical Physics course.

Using the meetingmins package - A LaTeX class for formatting minutes of meetings. Sample templates of the meeting agenda; the Chairperson's agenda; and the meeting minutes are included.

Jyothi Kunaparaju's résumé

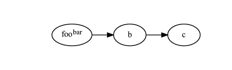
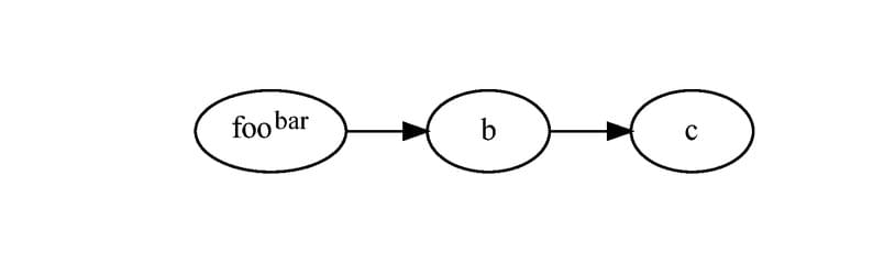
An example of the graphviz package, which uses dot in the background to draw graphs. Add \usepackage[pdf]{graphicx} to get HTML-like labels working.

Template for IUCr conference abstracts. For more information, please see IUCR's instructions.
\begin
Discover why over 20 million people worldwide trust Overleaf with their work.